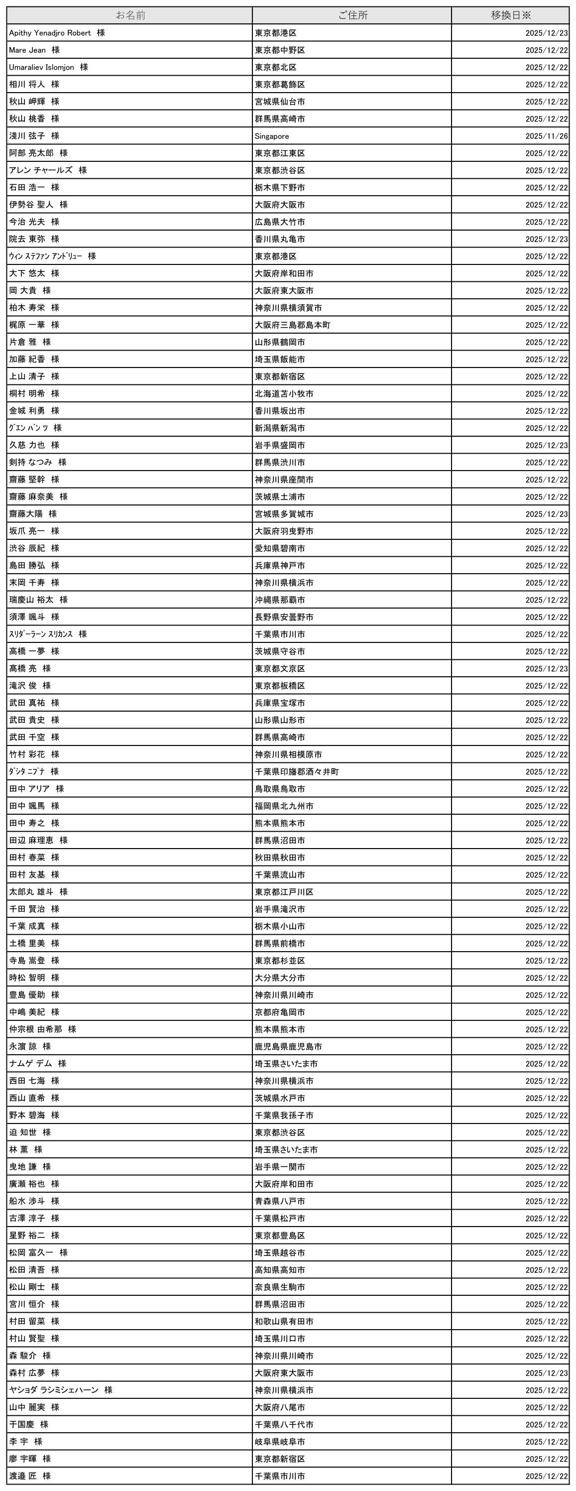
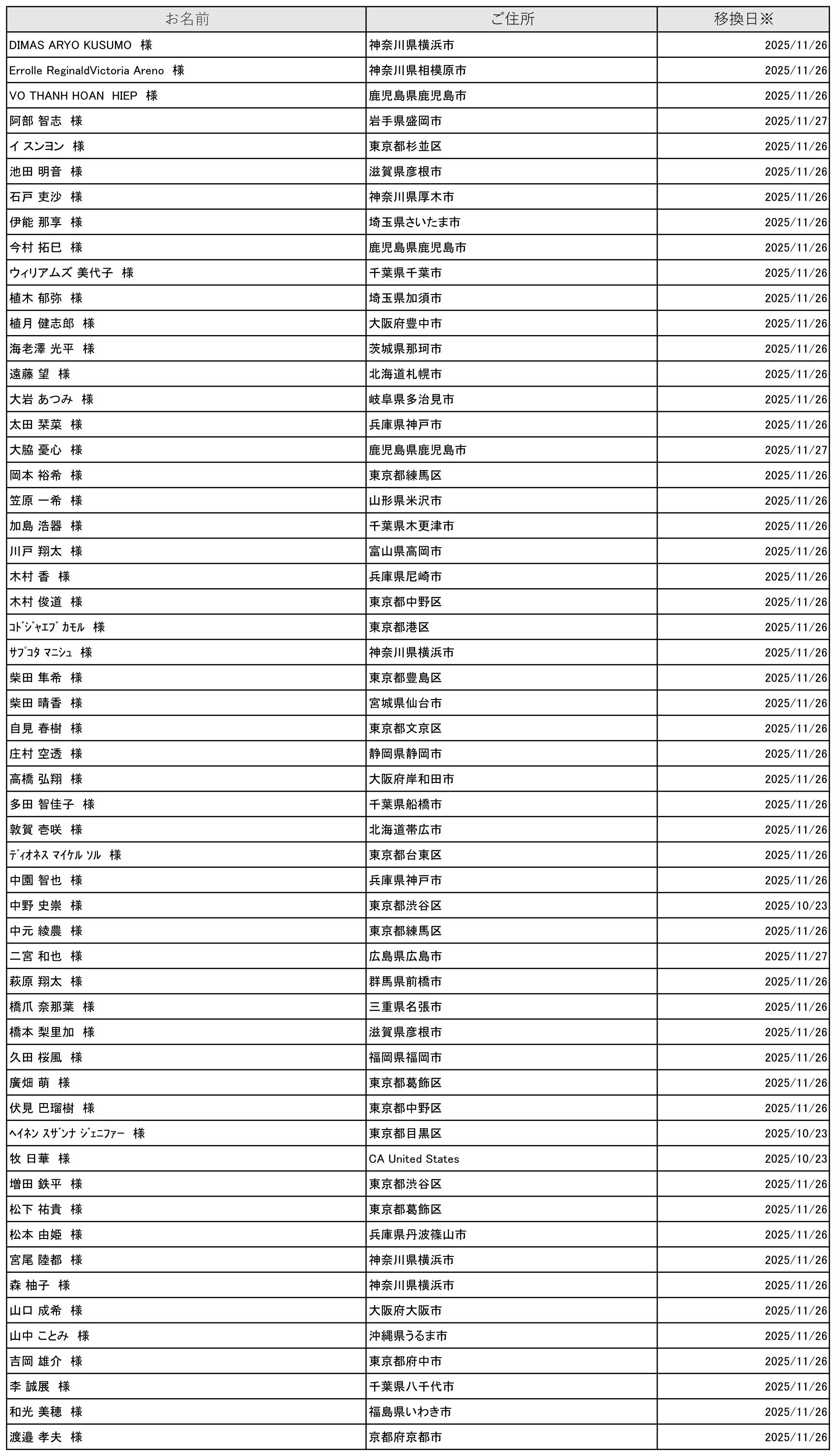
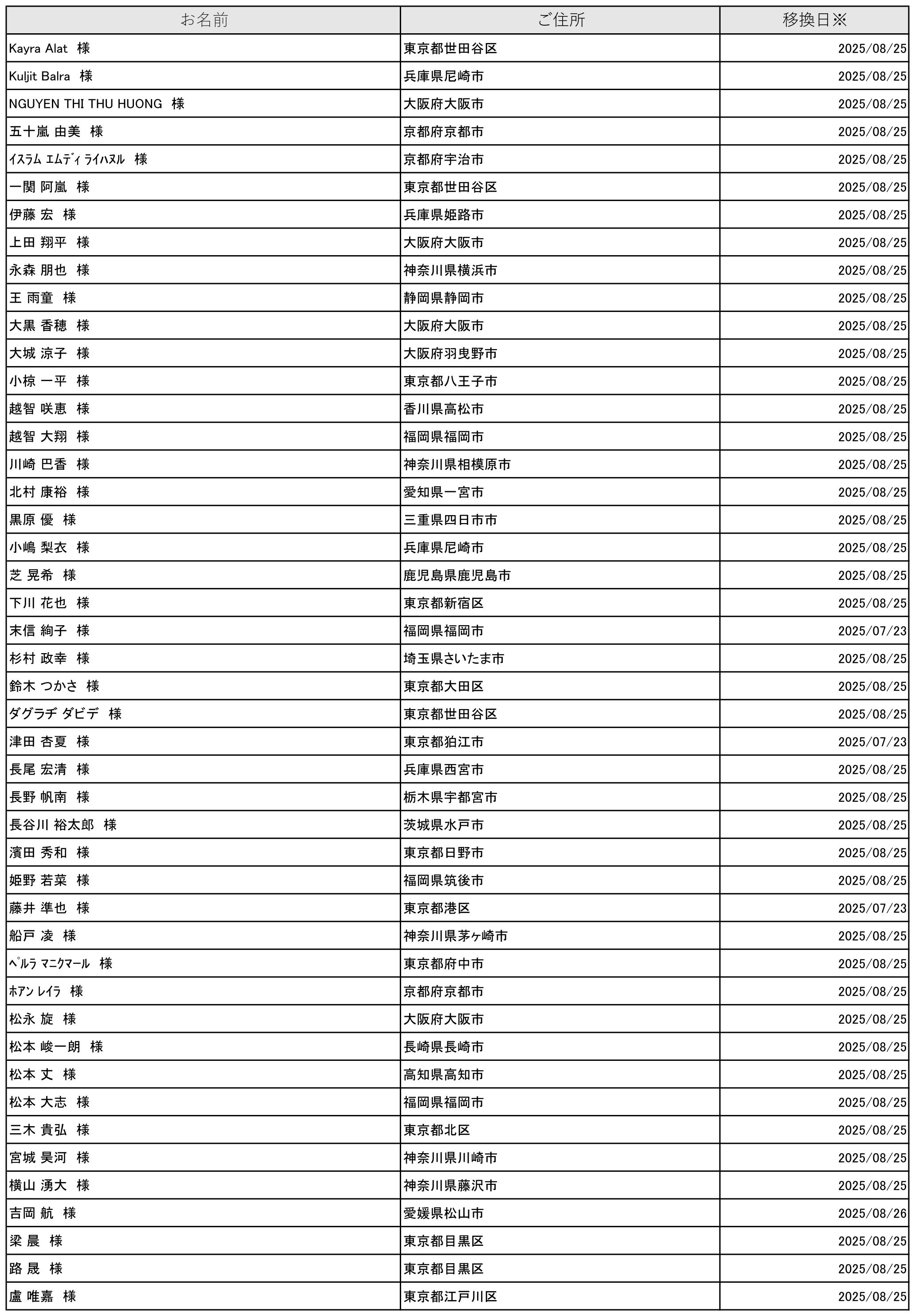
企業型確定拠出年金(企業型年金)では、加入者資格を喪失された方が、資格喪失日の翌月から6カ月以内に他の企業型年金又は個人型確定拠出年金(個人型年金)等への移換の申し出をされない場合には、確定拠出年金法令等に基づき、他に受入れ可能な確定拠出年金の口座があればその口座へ、口座がなければ国民年金基金連合会へ個人別管理資産が移換(自動移換)されます。今般、企業型年金の加入者であった方の個人別管理資産を国民年金基金連合会へ移換し、移換が完了した旨の書面を弊社において登録している住所に送付させていただきましたが、住所不明等により返送されたため、確定拠出年金法第83条に基づき、公告いたします。
なお、国民年金基金連合会へ移換された個人別管理資産は、国民年金基金連合会にて管理されている期間は運用されませんので、お早めにお手続きをお取りいただきますようお願い申しあげます。
ご不明の点につきましては、弊社アンサーセンターにご照会ください。
記




※ 移換日:個人別管理資産を「他の確定拠出年金の口座」、または「国民年金基金連合会」に引き渡した日
公告の掲載期間:公告月翌月より3カ月間
以上